KU-5. Kinetika Kimia

 Kinetika kimia.

  • Kinetika kimia Merupakan bidang kimia yang mempelajari tentang kecepatan atau laju dari suatu reaksi kimia

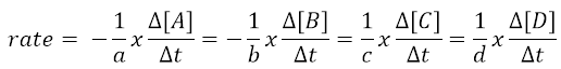
  • Laju reaksi adalah perubahan konsentrasi reaktan atau produk terhadap waktu. Secara umum laju reaksi dinyatakan dengan persamaan berikut :

Contoh untuk reaksi : aA  + bB 🡪 cC + dD

Maka laju reaksinya adalah 

  • Hokum laju merupakan persamaan yang menghubungkan laju reaksi dengan konstanta laju dan konsentrasi reaktan. Konstanta laju adalah konstanta kesebandingan antara laju reaksi dengan konsentrasi reaktan. Sedangkan ordo reaksi adalah jumlah dari pangkat-pangkat setiap konsentrasi reaktan yang ada dalam hokum laju tersebut.

Misalkan untuk reaksi 2NO + 2 H2 🡪 N2 +  2H2

Maka hukum lajunya adalah laju = k. [NO]x[H2]y

Dimana k = konstanta laju

  x + y = ordo reaksi

  • Penentuan hukum laju reaksi :

    • Umumnya ordo reaksi harus ditentukan lewat percobaan dan tidak dapat ditentukan dari persamaan reaksi keseluruhan

    • Hokum laju dapat ditentukan dengan mengukur laju awal reaksi sebagai fungsi konsentrasi reaktan

    • Berikut rangkuman reaksi untuk ordo 1 dan 2

  • Walaupun ada sedikit pengecualian, akan tetapi umumnya laju reaksi akan meningkat dengan meningkatnya suhu.

  • Teori tumbukan :

    • Teori tumbukan menyatakan bahwa reaksi kimia merupakan akibat dari tumbukan antar molekul yang bereaksi. Sehingga laju reaksi akan berbanding lurus dengan banyaknya tumbukan molekul per detik

    • Ketika molekul bertumbukan maka sebagian dari energy kinetic di ubah menjadi energy vibrasi yang nantinya akan memutuskan ikatan. Sehingga supaya reaktan dapat menghasilkan produk maka energy reaktan yang bertumbukan harus lebih besar dari energy aktivasi. Energy aktivasi adalah jumlah minimum energy yang diperlukan untuk memulai suatu reaksi kimia

  1. Persamaan Arrhenius :

  • Persamaan archenius dirumuskan sebagai berikut :  k = A. e-Ea/R.T

Dimana k adalah konstanta laju suatu reaksi, A adalah frekuensi tumbukan, Ea adalah energy aktivasi, dan T adalah suhu (K)

  • Persamaan yang menghubungkan k1 dan k2 pada suhu T1 dan T2 adalah :

  1. Mekanisme reaksi :

  • Mekanisme reaksi adalah urutan tahap-tahap elementer yang mengarah pada pembentukan produk.mekanisme reaksi dinyatakan oleh sederet reaksi-reaksi sederhana/tahap elementer sehingga dapat mempresentasikan jalannya reaksi pada tingkat molecular.

  • Zat antara adalah spesi yang muncul pada mekanisme reaksi tetapi tidak dalam persamaan reaksi keseluruhan.

  • Banyaknya molekul yang bereaksi pada tahap elementer disebut molekulaitas reaksi. Reaksi bimolecular kalau melibatkan dua molekul, dan reaksi unimolekular kalau hanya melibatkan satu reaktan.

  • Jumlah tahap elementer harus menghasilkan persamaan setara keseluruhan untuk reaksi tersebut

  • Mekanisme reaksi dapat digunakan menjadi dasar dalam menentukan ordo reaksi

  • Tahap penentu laju yaitu tahap penentu laju dari seluruh rangkaian tahap menuju pembentukan produk

  • Katalis adalah zat yang meningkatkan laju reaksi kimia. Katalis dipakai dalam suatu reaksi kimia akan tetapi nantinya akan dihasilkan lagi sebagai produk. Adanya katalis menurunkan energy aktivasi sehingga menaikkan konstanta laju reaksi

  • Katalis yang fasaya sama dengan zat yang bereaksi disebut katalis homogen, sedangkan apabila fasanya berbeda dengan zat yang bereaksi disebut katalis heterogen.



Komentar

Postingan populer dari blog ini

Bab 16 Unsur Golongan Transisi

Bab 3 : Padat, cair, dan Gas

Bab 14 Nitrogen dan Senyawaannya